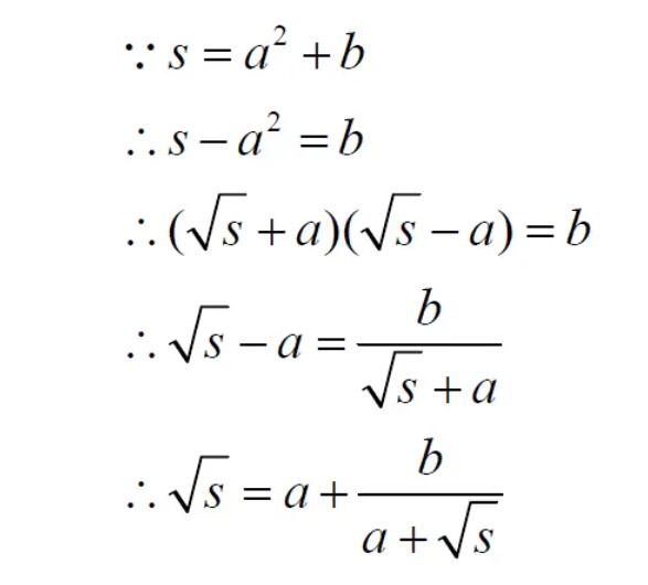
手算开平方的方法其实有很多,我先来教大家一种连分数的方法。如果要计算一个数s的平方根,只需要把这个数写成s=a²+b (a²>>b)的形式,然后就可以通过下面的式子计算:
$$\sqrt{S}=a+\dfrac{b}{2a+\dfrac{b}{2a+\ldots }}\left( 1\right)$$
观察这个式子,你会发现:除了第一项是a,其余的加号前面都是2a,分子都是b,很好记。这个连分数有无限多层,但是我们在计算过程中不需要取无限多层,只需要一两层,就能得到很好的效果。
比如,我们要计算150的平方根。我们将150写成144+6,前者是12的平方,即150=12²+6,也就是在(1)式中a=12,b=6
我们可以按照不同的精度,分别取0层、1层、2层…近似
$$\sqrt{s}\approx a=12\left( 0层近似\right)$$
$$\sqrt{s}\approx a+\dfrac{b}{2a}=12+\dfrac{6}{24}=12.25\left( 1层近似\right)$$
$$\sqrt{s}\approx a+\dfrac{b}{2a+\dfrac{b}{2a}}=12+\dfrac{6}{24+\dfrac{6}{24}}=12.2474\left( 2层近似\right)$$
如果我们用计算机按出根号150,它等于12.2474487…,大家会发现,其实1层近似就已经很准确了,到了2层近似的时候,已经准确到小数点后第四位了,误差在百万分之二,怎么样?还是很不错的方法吧!
这种方法的证明也不难。如下:
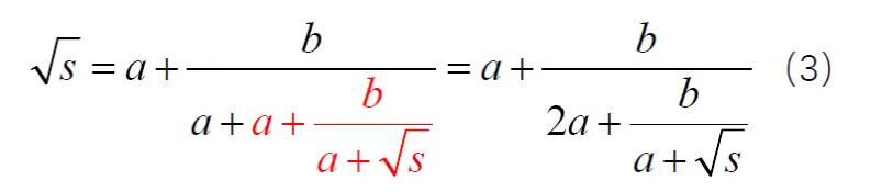
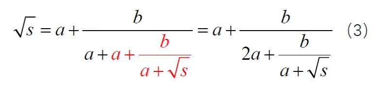
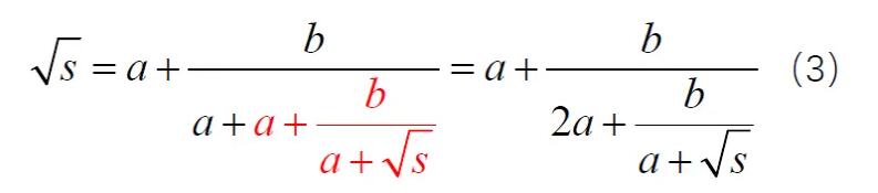
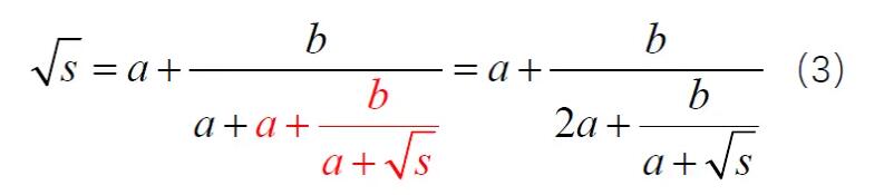
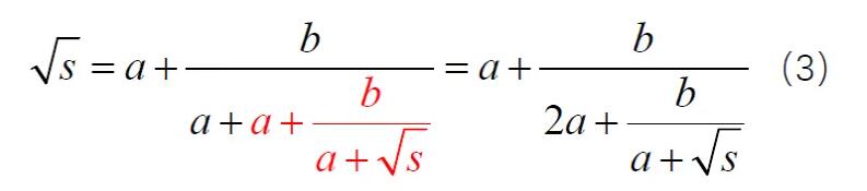
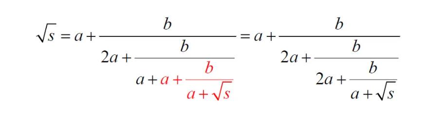
大家观察最后一个表达式:左右两侧都等于√s,而在右侧表达式的右下角还有√s。于是,我们可以把右侧整个代入到右下角的√s中。
这样就得到
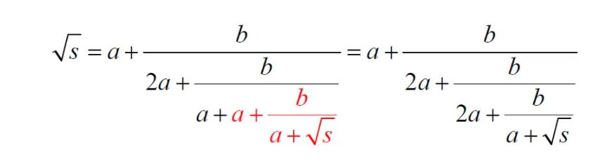
大家看,这样就出现了一个2a。我们可以重复这个步骤,用(2)中的绿色框再次替代(3)中右下角的√s,这样就得到了
如此,我们反反复复计算下去,就会得到最初的结论(1)了。怎么样?简单吧!
作者:李永乐老师官方